CRF++(条件随机场)
0.58 免费版- 软件大小:4.05 MB
- 更新日期:2018-07-11
- 软件语言:简体中文
- 软件类别:其它杂类
- 软件授权:免费软件
- 软件官网:未知
- 适用平台:WinXP, Win7, Win8, Win10, WinAll
- 软件厂商:
软件介绍人气软件相关文章网友评论下载地址
crf++是款相当简单实用的条件随机场;它也是目前市场上的使用率相当大的开源工具,并且还是综合性能方面最好的crf工具,软件支持使用在文本标注,让你的文本阅读标注更加轻松;还对分词的功能,重要的词性标注支持,并且还对实体识别命名的领域包含;该工具操作性比较的高,简单的就能完成各种相关的各种操作,感兴趣的用户不要错过!

软件功能
按包里面的doc文件夹,就是你需要进行使用的官方主页内容
example文件夹,可以对您需要的训练数据,测试数据、模板文件、执行脚本的文件等包含
sdk文件夹,对CRF++的头文件,静态的链接库进行支持
而且还对 clr_learn.exe:CRF++的训练程序、crl_test.exe:CRF++的测试程序等进行包含
支持对静态的连接库进行快速的支持
软件特色
它的使用方式比较的简单
操作也快捷方便
并且体积还不大,相当的小巧
这样就会让下载速度加快
也会让您轻松的完成各种相关的操作
使用方法
1、将软件进行下载解压完成之后,将安装包里面的crf_learn.exe crf_test.exe libcrfpp.dll文件复制到您需要的example文件夹下面;
2、对CMD的命令模式,将CD到1复制到目录里面,而且支持对指令的输入“crf_learn template train.data model”,就能对model文件生成;

3、从条件随机场到线性链条件随机场,注意在CRF的定义中,我们并没有要求XX和YY有相同的结构。而实现中,我们一般都假设X和YY有相同的结构,即:

4、我们一般考虑如下图所示的结构:XX和YY有相同的结构的CRF就构成了线性链条件随机场(Linear chain Conditional Random Fields,以下简称 linear-CRF);

5、在我们的十个词的句子的词性标记中,词有十个,词性也是十个,因此,如果我们假设它是一个马尔科夫随机场,那么它也就是一个linear-CRF。
我们再来看看 linear-CRF的数学定义:
设X=(X1,X2,...Xn),Y=(Y1,Y2,...Yn)X=(X1,X2,...Xn),Y=(Y1,Y2,...Yn)均为线性链表示的随机变量序列,在给定随机变量序列XX的情况下,随机变量YY的条件概率分布P(Y|X)P(Y|X)构成条件随机场,即满足马尔科夫性:

6、线性链条件随机场实例,这里我们给出一个linear-CRF用于词性标注的实例,为了方便,我们简化了词性的种类。假设输入的都是三个词的句子,即X=(X1,X2,X3)X=(X1,X2,X3),输出的词性标记为Y=(Y1,Y2,Y3)Y=(Y1,Y2,Y3),其中Y∈{1(名词),2(动词)}Y∈{1(名词),2(动词)}这里只标记出取值为1的特征函数如下:

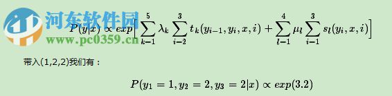
求标记(1,2,2)的非规范化概率。利用linear-CRF的参数化公式,我们有:

下载地址
-
CRF++(条件随机场) 0.58 免费版
人气软件

中国电子口岸客户端安装程序 下载13.1 MB
/简体中文3.24 MB
/简体中文
pdfFactory Pro3.52汉化注册版3.24 MB
/多国语言
zkaccess3.5门禁管理系统下载121 MB
/简体中文
元亨利贞八字排盘系统下载3 KB
/简体中文
黑马校对v18单机版8.63 MB
/简体中文1.06 MB
/简体中文
万能对讲机写频软件下载(附注册码)2.87 MB
/简体中文
WinOMeter下载(鼠标键盘点击次数统计)94 KB
/英文14.7 MB
/简体中文
相关文章
网友评论共0条

PLuckyDraw(随机抽奖器) 5.6.1 官方版
StressMyPC 附使用方法 3.83 绿色版
GeoGebra(几何动态数学工具) 6.0.583.0 中文版
WordCreator(随机单词生成器) 19.7.1 官方版
吉祥抽奖软件 5.2.0 绿色版
幕布笔记 1.2.3 官方最新版
公差配合查询下载 2.0.0.7 绿色版








精彩评论